Skip to main content

Graphical Excellence

Since 2012 the Department has awarded Prizes for Graphical Excellence in laboratory reports. £100 is awarded at each Laboratory Level with nominations made by markers. The prizes are awarded for the optimal presentation of quantitative data to best illustrate a particular physical phenomenon. Optimal presentation should include appropriate choice of data, theory, axis scaling and labelling, and aesthetic value, and may include innovative plotting ideas and originality. In 2017, on the 8th of March, International Women's Day , the prizes were renamed ‘The Florence Nightingale Prize for Graphical Excellence’, in recognition of Florence Nightingale’s pioneering contributions to visual presentation of information and statistical graphics.

 

 

Alfie Renn (Level 1 winner 2019)

Alfie Renn (Level 1 winner 2019)

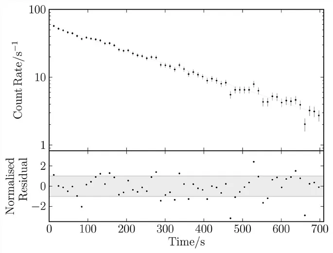
Samuel Hayes (Level 2 Winner 2019)

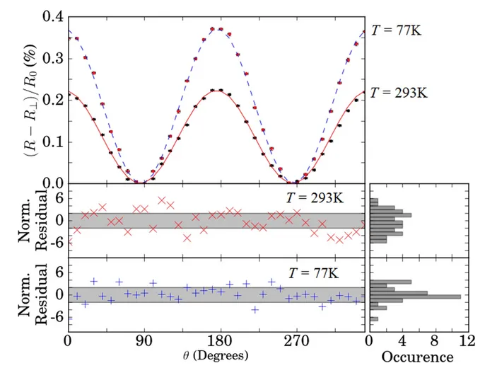
Jonathan Wong (Level 3 Winner 2019)

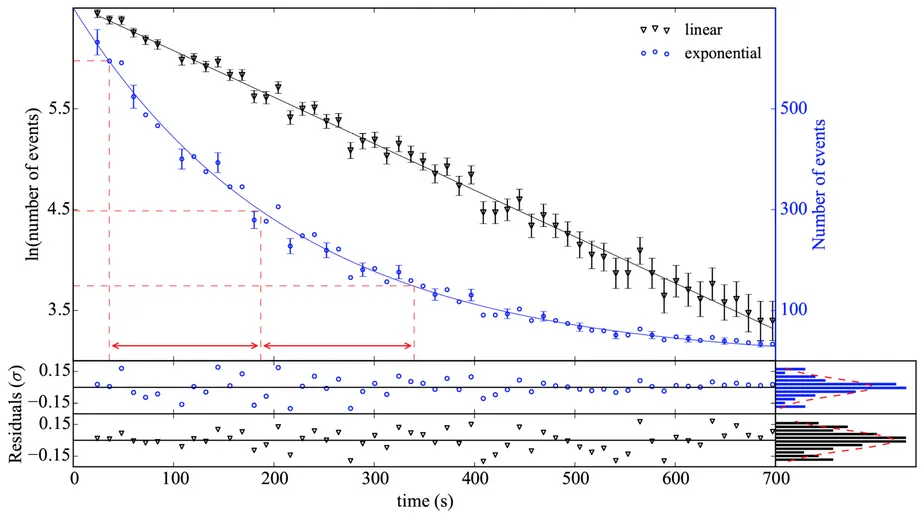
Ross Knapman (Level 4 Winner 2019)

2015 Level 1 Winner - Ashley Kelly

2015 Level 3 Winner - Lucy Downes

2015 Level 3 Winner - Michael Cheung

2014 Level 1 Winner - Zach Dettwiler

2014 Level 2 Winner - Jack Humphries

2014 Level 3 Winner - Tim Stephenson

2013 Level 1 Winner - Alexander Blair

2013 Level 3 Winner - Daniel Haydon

2013 Level 3 Team Project Winners - Mitchell Harle, Tom Slater, Jack Harman

2012 Level 3 Winner Dan Whiting

Previous winners

Examples of previous winners are available at

Archive

Archive of previous year posters
Physics students talking