Skip to main content
Overview

Freddie Daniels


Biography

I graduated from Durham in 2023 with a first class integrated masters degree in Theoretical Physics. I am now a computational PhD student in the Durham University Superconductivity Group, studying Time-Dependent Ginzburg-Landau (TDGL) theory via simulation and analysis. I am part of the EPSRC Centre for Doctoral Training in Fusion Power (Fusion CDT), in the materials strand.

Fusion CDT

The Fusion CDT is a collaboration between six universities: University of York, Durham, Liverpool, Manchester, Oxford and Sheffield and is supported by a network of more than 20 industry partners andinternational labs. The Fusion CDT aims to equip PhD students with the knowledge and skillsnecessary for the fusion power sector. I spent the first 6 months of my PhD attending a series of modules provided by the CDT that gave me a foundation in fusion energy, covering topics such as materials science, plasma physics, and the challenges currently facing the fusion industry.

Research Interests

In order to sustain a fusion reaction on earth, the incredibly high temperature plasma must be confined using strong magnetic fields. Such field strengths can only be achieved using superconducting electromagnets, which must be able to handle very large current densities and fields. Increasing the capabilities of these superconducting magnets is crucial to optimising the performance of the next generation of fusion tokamaks. Currently, the maximum current densities achieved in superconductors are around 100 times smaller than the theoretical limit. 

During my PhD, I will be using computational and analytical techniques to solve the Time-Dependent Ginzburg-Landau equations of superconductivity, attempting to further understand the factors limiting the field strengths and current densities of high and low temperature superconductors. Recently, my research has focused on modelling the critical current density of polycrystalline superconductors as a function of applied magnetic field strength in 2 and 3 dimensions. Since the superconducting electromagnets represent up to a third of the cost of a fusion power plant, improving the critical current densities of superconductors can have an outsized impact on the cost and profitability of fusion power.

Recent Results

Simulations are carried out using a solver written in the Julia programming language and developed in the Durham University Superconductivity Group. The solver employs a non-linear geometric multigrid method to compute superconducting properties in discretised space and remains stable for arbitrary values of the Ginzburg–Landau parameter κ, unlike many other solvers that are restricted to the high-κ limit.

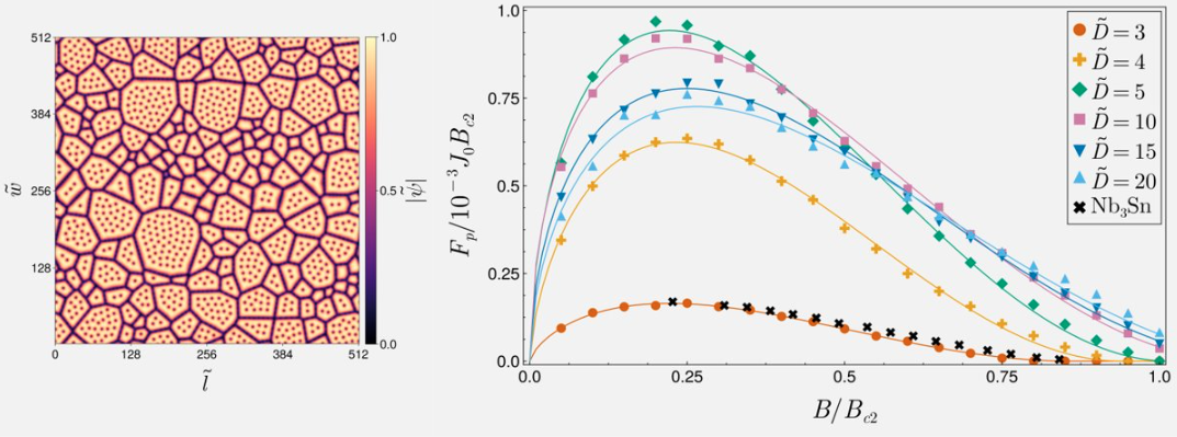
My recent research has focused on how the material geometry and grain boundary characteristics of the low-temperature superconductor Nb3Sn affects its superconducting properties. In a magnetic field, a superconductor will trap vortices of magnetic flux called fluxons. If these fluxons move due to the influence of an applied current, the superconducting state is destroyed. Therefore the force with which the fluxons are 'pinned' in place is an important measure of a superconductors ability to operate in strong magnetic fields.

Below is a visualisation of a typical 2D superconductivity simulation of a polycrystalline superconductor, alongside simulated flux pinning force data fitted to an analytic model.

2D TDGL simulation of a polycrystalline superconductor, with a graph of flux pinning force
Presentations
  • FuseNet PhD event 2025, 4th-6th of November 2025 in Cadarache, France (Poster)
  • Frontiers of Fusion student conference,  31st of March - 4th of April in York, UK (Poster)